
Divácky najúspešnejšími nešportovými programami na slovenskom televíznom trhu sa uplynulý mesiac stali...
Divácky najúspešnejšími nešportovými programami na slovenskom televíznom trhu sa uplynulý mesiac stali relácia Počasie a kultový komediálny seriál Susedia, Televízne noviny zvíťazili v každý jeden májový deň.
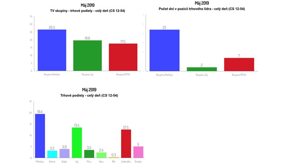
Skupina Markíza si so stanicami Markíza, Doma a Dajto v uplynulom máji 2019 aj napriek silnej konkurencii hokejových majstrovstiev sveta udržala stabilnú pozíciu jednoznačného celodenného lídra na slovenskom televíznom trhu. V obchodnej cieľovej skupine 12-54 dosiahla výborný priemerný celodenný trhový podiel 26,5 % a konkurenčnú skupinu Joj (19,6 %) tak predstihla s rozdielom 6,9 percentného bodu. Jednotkou na trhu bola skupina Markíza v 22 z 31 májových dní.
Taktiež aj samotná TV Markíza bola v máji 2019 najsilnejšou spomedzi slovenských staníc, keď v cieľovej skupine 12-54 zaznamenala priemerný celodenný trhový podiel 19,4 %. Konkurenčná TV Joj (13,4 %) vykázala v rovnakom období o 6,0 percentných bodov slabší výsledok.
Májové víťazstvo patrilo skupine Markíza aj v obchodne podstatnom prime-time 19:00-23:00,keď zaznamenala priemerný podiel na trhu 26,4 % a konkurenčnú skupinu Joj (21,6 %) tak predstihla o 4,8 percentného bodu. Jednotkou na trhu bola v 21 dňoch uplynulého mesiaca.
Samotná TV Markíza dosiahla v máji 2019 v prime-time 19:00-23:00 priemerný trhový podiel 19,3 % a s rozdielom 3,9 percentného bodu tak porazila konkurenčnú TV Joj (15,4 %).
Skupina Markíza bola v máji 2019 silnou jednotkou na trhu aj v prípade divákov starších ako 12 rokov s priemerným celodenným trhovým podielom 24,2 % a odstupom 4,1 percentného bodu od konkurenčnej skupiny Joj (20,1 %). Trhovým lídrom bola v 21 z 31 dní uplynulého mesiaca. Prvenstvo jej patrilo taktiež v prime-time 19:00-23:00 s dosiahnutým priemerným podielom na trhu 25,7 %.
Susedia jubilovali s veľkým úspechom, pracovné podvečery suverénne patria Oteckom
Najsledovanejším nešportovým a nespravodajským programom na slovenskom televíznom trhu bol v máji 2019 legendárny komediálny seriál Susedia. Konkrétne išlo o jubilejnú 100. epizódu odvysielanú v pondelok, 6. mája 2019, ktorá v strategickej cieľovej skupine 12-54 dosiahla najvyšší tohtoročný rating 10,8 % a druhý najlepší trhový podiel 28,2 %. Pozrelo si ju celkovo 512-tisíc divákov vo veku nad 12 rokov, čo je zatiaľ druhý najlepší tohtoročný výsledok.
Tri premiérové májové epizódy dosiahli v cieľovej skupine 12-54 priemerný rating 9,2 % a trhový podiel 25,0 %. Skvelú zábavu s mimoriadne obľúbenými seriálovými postavami si vychutnávalo v priemere 449-tisíc divákov vo veku nad 12 rokov.
Podvečernému vysielaniu aj v uplynulom mesiaci jednoznačne kraľoval denný rodinný seriál Oteckovia so skvelým priemerným ratingom 7,4 % a trhovým podielom 30,8 % v obchodnej cieľovej skupine 12-54. Najvyšší májový podiel na trhu 38,6 % zaznamenali Oteckovia vo štvrtok 2. mája 2019. Každý pracovný podvečer si k obrazovkám TV Markíza sadalo v priemere 390-tisíc divákov vo veku nad 12 rokov.
Počasie nešportovým víťazom mesiaca, Televízne noviny zvíťazili v každý jeden májový deň
Celkovo najsledovanejším májovým programom sa v cieľovej skupine 12-54 stalo vydanie relácie Počasie, odvysielané v nedeľu, 5. mája 2019, ktoré dosiahlo excelentný rating 11,1 % a trhový podiel 26,7 %. Informácie o počasí si v tento deň nenechalo ujsť 614-tisíc divákov vo veku nad 12 rokov, v tejto univerzálnej cieľovej skupine si uplynulý mesiac úplne najlepšie počínalo vydanie odvysielané o deň neskôr, v pondelok 6. mája 2019, ktoré si pozrelo až 617-tisíc divákov.
Výborné výsledky sledovanosti zaznamenala v máji 2019 aj hlavná spravodajská relácia Televízne noviny. V obchodnej cieľovej skupine 12-54 dosiahla výborný priemerný rating 8,1 % a trhový podiel 28,3 %.
Súhrn najdôležitejších udalostí dňa na Markíze uprednostnilo v priemere 494-tisíc divákov starších ako 12 rokov, pričom najsledovanejšie vydanie uplynulého mesiaca si v nedeľu, 5. mája 2019, pozrelo až 607-tisíc divákov. Taktiež aj v cieľovej skupine 12-54 išlo o divácky najúspešnejšie májové vydanie s výborným ratingom 11,1 % a trhovým podielom 27,2 %.
Televízne noviny boli uplynulý mesiac v rámci cieľovej skupiny 12-54 suverénnym trhovým lídrom, keď predstihli konkurenčné spravodajské relácie v každý jeden z 31 májových dní. Aj v rámci univerzálnej cieľovej skupiny 12+ boli jednotkou na trhu s dosiahnutým priemerným trhovým podielom 27,2 %.
Špičková zábava pre celú rodinu výrazne zabodovala
Mimoriadne obľúbený komediálny seriál Horná Dolná pokračoval aj uplynulý mesiac v stabilne nadpriemerných výkonoch. Ďalších päť premiérových epizód dosiahlo v priemere rating 8,1 % a trhový podiel 23,3 % v rámci cieľovej skupiny 12-54. Príbehy plné humoru v hviezdnom hereckom podaní si vychutnávalo priemerne 354-tisíc divákov vo veku nad 12 rokov.
Stredajšie večery patrili aj v máji dlhodobo obľúbenej hudobno-zábavnej relácii Chart Show, v cieľovej skupine 12-54 zaznamenala štvorica premiérových epizód priemerný rating 7,5 % a trhový podiel 22,2 %. Večery plné príjemnej hudobnej nostalgie a skvelej zábavy si vychutnávalo v priemere 363-tisíc divákov starších ako 12 rokov.
Výborné výsledky menších staníc Doma a Dajto
Na obrazovkách televízie Doma sa v máji 2019 najlepšie darilo čoraz obľúbenejšiemu tureckému seriálu Sila ženy. Prvá epizóda z pravidelnej večernej dvojporcie, ktorá bola odvysielaná vo štvrtok, 30. mája 2019, dosiahla v cieľovej skupine 12-54 absolútne rekordný rating 2,3 % a tretí najvyšší trhový podiel 6,9 %. Nasledujúca časť sa zaradila s ratingom 2,2 % na druhú priečku a zaznamenala doposiaľ najvyšší trhový podiel 7,2 %. Obe epizódy zároveň dorovnali doterajší rekord z hľadiska sledovanosti aj v rámci univerzálnej cieľovej skupiny 12+, keď si ich vychutnalo celkovo 201-tisíc divákov.
Z atraktívnej filmovej ponuky televízie Dajto si uplynulý mesiac najviac divákov z cieľovej skupiny 12-54 zvolilo akčný triler Prenasledovaný s Liamom Neesonom v hlavnej úlohe, ktorý v pondelok, 20. mája 2019, dosiahol nadpriemerný rating 2,5 % a trhový podiel 7,8 %.
Dáta sú uvedené v meraní LIVE + VOSDAL + HOSTIA. Zdroj dát: PMT/KANTAR MEDIA
PR oddelenie skupiny Markíza